Do you ever…
…run an analysis in SYNTHIA™ for which you already have a starting material in mind for your synthesis?
Because SYNTHIA™ searches the complex graph of possible synthetic routes for your target molecule, it’s not possible to directly specify a starting material for your analysis—but there are ways to guide SYNTHIA™ toward the ones you want. One effective method is using the Do Not Cut feature.

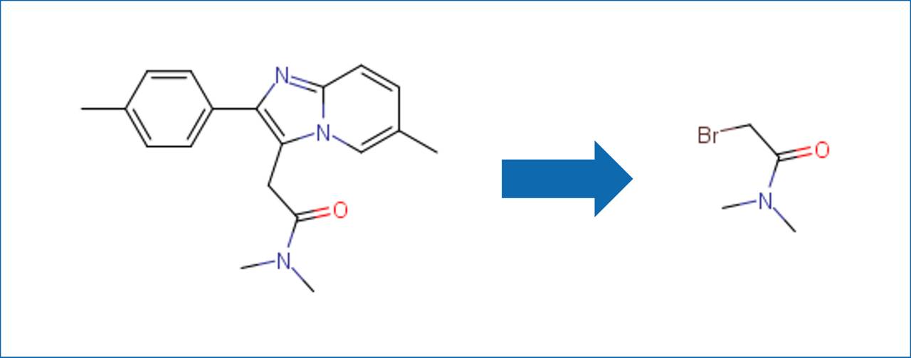
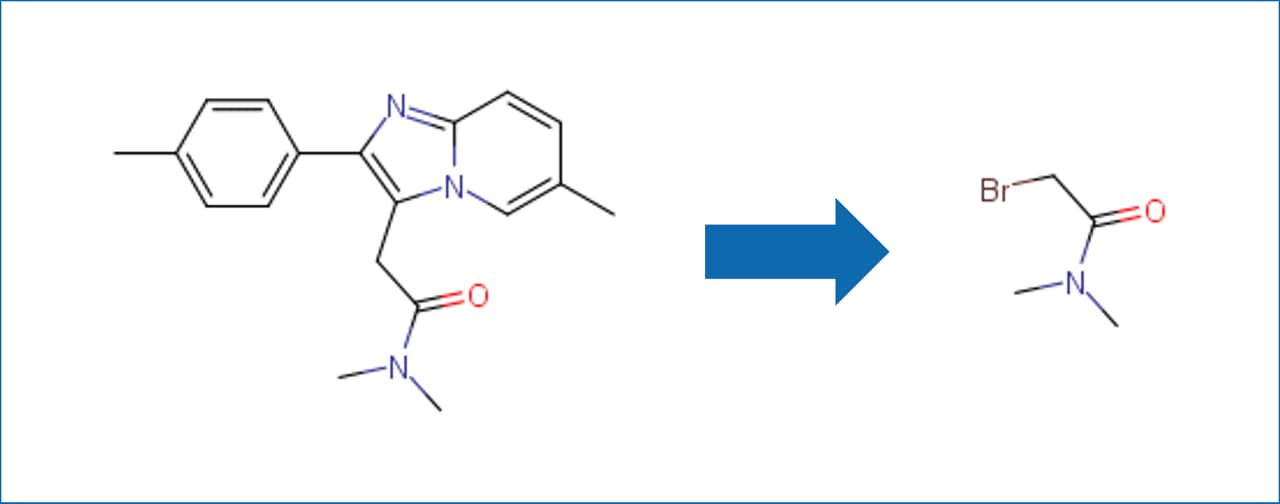
If the starting material you want to use is part of your final product, you can instruct SYNTHIA™ not to cut this portion of the molecule by marking those bonds as not a reacting center.
How do I mark bonds to keep them intact?
- In the molecule editor, highlight the portion of the molecule you want to use as a starting material while setting up your analysis.

- Right-click on the highlighted portion and select Bond Properties from the menu.
- Change the Reacting Center option to Not Center and click

You will know which bonds have been marked as Do Not Cut because they will display an ‘X’ crossing through them.

When you are done marking the bonds you do not want to be disconnected as Not Reaction Center, select your analysis parameters and start the analysis.
Once the analysis begins, all pathways proposed by SYNTHIA™ will preserve these bonds, increasing the likelihood of finding the starting material you want to use.

Do Not Cut is useful in other scenarios too!
- Preserve stereocenters in your molecule.
- Avoid known routes by marking specific disconnections as Do Not Cut.
Something to remember…
SYNTHIA™ must still meet the stop conditions for automatic retrosynthesis analysis. If the starting material you want is not present in SYNTHIA™’s databases of published or commercial compounds, marking those bonds as Do Not Cut may result in no routes being found.
Quick Tip:
You can check if your desired starting material is listed in SYNTHIA™’s database by searching for it as a target molecule using its name, SMILES, or CAS number.

If your starting material is in the database but hasn’t been published extensively, you may want to lower the popularity threshold for published compounds.
Custom Inventory Integration:
Incorporating your Custom Inventory into SYNTHIA™ ensures the compounds you want to use are available as starting materials. Contact our team to learn more about adding this feature to your license.
Try it for yourself! Explore Do Not Cut today!
.png)

